搜索


会员资源切换至【手机版】

切换本帖至【手机版】


开启左侧

朗道:理论物理学10卷 Landau Course of Theoretical Physics - Vol 1-10 ENGLISH

[复制链接]
发表于 2021-7-26 22:50:53 | 显示全部楼层 |阅读模式
下载备注说明:


  • 1.有些P2P资源共享较早,会出现无源或暂时无源的情况,如果您喜欢它,请耐心挂机等待。


  • 2. 有些磁力链接无法自动解析,比如:


    [url=magnet:?xt=urn:btih:E1346C46C3736056756E98D2EC22A383D7D2600F&dn=[www.books51.com]太阳之下_幸福北韩 Under.the.Sun.2015.DOCU.1080p.WEB-DL.AAC2.0.H264-FGT 4GB]点击下载[/url]



    可自行选择字符


    [url=


    红色为磁力地址


    ]点击下载


    之间的内容 (红色字符代表要复制的磁力链接代码,选择后点击CRTL+C 复制到下载工具中




  • 游客,本帖隐藏的内容需要积分高于 1 才可浏览,您当前积分为 0


    资源信息:



    中文名


    : 朗道:理论物理学10卷


    英文名


    : Landau Course of Theoretical Physics - Vol 1-10 ENGLISH


    发行时间


    : 2007年


    地区


    : 大陆


    对白语言


    : 英语


    概述


    :



    《朗道10卷》,学物理的人都知道吧? 偷懒用8楼兄弟的介绍: 按照朗道原来的计划,这套教科书应为九卷: 1. 力学2. 场论3. 量子力学4. 相对论性量子理论(量子电动力学)5. 统计物理学6. 流体力学7. 弹性理论   8. 连续媒质电动力学9. 物理动力学    不幸,朗道本人因为车祸,第四和第九两卷不及完成。他的合作者栗弗席兹教授按照当年他的原意和大纲,和其他人一起完成了这套巨著,还增加了第十卷: 10. 统计物理学(2) 这套书不是给初学者用的,大多数章节对问题的讨论都是从最基本的原理出发,读它的时候会有享受的感觉。会觉得,这才是物理的美丽。而在这套教科书中,朗道赞誉相对论是“最优美的物理理论”。不管怎样,这大概是专业教材的一个顶峰了 英文版的。 读朗道的书的人应该能看看英文版吧。







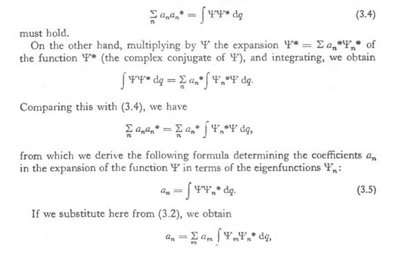
    本来认为这种书看的人不会多,需要的人也不要我介绍了。所以偷懒用下面兄弟的介绍。 另外,网上下的物理方面的书清晰度不够,公式看不清大概是最糟的事情了。这套书还过得去,上传几个截图给大家,认为不够清晰的也不要费力下载了。 对于精华我一向不认为很重要,我发布的东西看的人本就很少,不过还是听取大家的意见,修改一下帖子,希望加精后让更多的人可以方便的看到。 Symantec AntiVirus完全版:10.1.4.4000。病毒代码库:2007-12-4 我用的是VeryCD的emule版本,自动链接服务器,一般不会特意选择(特意选择的服务器常常上不去



    或者会试试 Razorback 3.0 (85.17.52.92:5000)) 会长期共享,不过一般在19:00以后上线。

    主题推广




    回复

    使用道具 举报

    您需要登录后才可以回帖 登录 | 立即注册

    本版积分规则

    切换至【手机版】| 主站| Archiver|

    JS of wanmeiff.com and vcpic.com Please keep this copyright information, respect of, thank you!JS of wanmeiff.com and vcpic.com Please keep this copyright information, respect of, thank you!

    |网站地图

    GMT+8, 2026-3-27 22:12 , Processed in 0.846614 second(s), 71 queries .

     

    快速回复 返回顶部 返回列表