生活中我们处处可以碰到这样一些恼人的事情:
在一个阳光明媚的下午,把刚洗好的衣服搭在晾衣绳上,结果“啪”的一声绳子断了。衣服散落一地,沾满了尘土,不得不拿回去重洗。
开着车在山间小路中徜徉,惬意地享受着春光,突然前方出现一道警戒线,路边立着大牌子,上写四个大字:“此路不通”。
其实这两件事情都涉及到一类共同的现象:“连续”(continuous)与“间断”(discontinuous)。
数学的发展就是对客观现象进行抽象与归纳,并在此基础上进行演绎推理。而“连续”与“间断”这类现象早就被数学家们注意到了。在初等的几何问题中,我们会涉及到线的连续;而微积分创立以后,对连续性的探讨又上升到了极限的高度;而到了20世纪,随着现代拓扑学的诞生,人们对连续性又有了更深刻的认识。
可以看出,“连续”这个概念在数学中也是经历了由直观到形式,由原始到复杂,由具体到抽象这样一个层层演进的过程,本文我们就来论述一下这个过程。 1.古典数学中的“连续”概念
微积分创立之前的数学被称为古典数学,这个时期人们对数学的概念还停留在感性直观的基础上,没有形成现代数学中那样严谨的形式语言和逻辑规范,因此对“连续”这一概念的理解也是很原始的。所谓连续,就是像一条绳子那样不要断成两段就可以了。
“连续”概念在数学中的层层演进
在小学奥数中,我们学过所谓的“一笔画”问题,大意就是给出你一个复杂的图形,要求你用笔画出来。要满足两个要求:第一,笔不能离开纸面;第二,不能有重叠。
“连续”概念在数学中的层层演进
有趣的一笔画问题
笔不离开纸面的意思就是连续的意思,只有这样画出来才是一条连续的、完整的线。一旦你的笔尖离开纸面再找另外一个地方继续画,那么这条线就断开了,也就不能是连续的了。
一笔画问题来源于所谓的“哥尼斯堡七桥问题”,哥尼斯堡是曾经是普鲁士一座非常重要的城市,现在的名字叫加里宁格勒,属于俄罗斯。这座城市还诞生了另外一位伟大的哲学家——伊曼努尔·康德(Immanuel Kant,1724~1804)。
哥尼斯堡是一座多水的城市,人们在其中一条河流和其中的两座小岛上修建了七座桥梁:

七桥示意图
不少人经常在这里散步,走得多了人们便想到一个问题:能否一次性把这七座桥都走个遍,并且中途不走重复路线?
这其实就是最早的一笔画问题:人不会跳,更不能飞,所以走出的路线一定是一条连续的线。同时要求一次性走完,就是说不能分成两次或者多次。如果分成两次或多次,那就相当于好几段了,这样一来路线就是断开的。所以“七桥问题”里面就隐含了人们关于“连续”与“间断”最朴素的概念。
无数人试图解决这个问题,他们天天在桥面上走来走去,可惜始终没有人成功。1735年,几名大学生把这个问题寄给了当时的大数学家欧拉。而欧拉果然不负众望,通过一年的潜心研究,1736年欧拉向圣彼得堡科学院投去论文《哥尼斯堡的七座桥》,彻底解决了这个问题。就是我们现在在奥数中学到的“一笔画理论”。简单总结来说,如果一个连通图的奇数点个数是0或2,则可以一笔画出,其余情况都不行。

莱昂哈德·欧拉(Leonhard Euler,1707年4月15日-1783年9月18日)
欧拉对“七桥问题”的解决,远不是只创立了一个一笔画理论,它还是一门更为复杂的数学分支——拓扑学(Topology)的开端,“连续”与“间断”的概念将进一步得到升华,我们后文再做介绍。
2.微积分中的连续概念
17世纪牛顿(Newton)和莱布尼兹(Leibniz)发明微积分以后,数学发展则完成了由古典数学向近代数学的转换。人们开始从严格定义的角度来思考“连续”与“间断”的概念。
在直角坐标系中,已知一个函数,我们都学过描点连线的方法来画它的图像。那么这条线就有可能是连续的,也有可能是断开的,那么如何对这种连续或断开做一个精确的定义呢?这就要回到微积分的起源。
牛顿发明微积分,当初是为了解决求变速运动的物体在某一时刻的瞬时速度这一问题,采用的方法就是:先求出在一个小时间段内的平均速度,再让这个时间段无限趋近于0,得到的就是“一瞬间”的速度。这里就涉及到“无穷小量”这个概念,于是“极限”的概念就产生了。
“连续”概念在数学中的层层演进
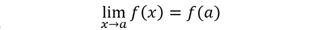
所谓函数在一点的极限,通俗的讲就是当自变量x无限靠近某个数a的时候,它所对应的因变量y也向某个数L无限靠近,这时我们就说当x趋近于a时函数的极限是L。
比如上面那个图可以清晰的看出来当x无限向2靠近的时候,y值就无限的向3靠近,于是我们就说x趋近于2时函数的极限是3。
极限的英文单词是“limit”,因此我们采用如下符号来表示x趋近于a时函数的极限是L:
“连续”概念在数学中的层层演进
那么极限和连续又有什么关系呢?我们来看下面一幅图:
“连续”概念在数学中的层层演进
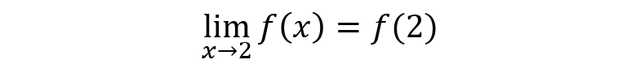
这个函数在2这一点就是断开的。再来分析一下,如果把它想象成是一条马路的话,2这一点就是有一个洞。你开着车子在这条路上走,当走到2点时如果不刹车就会掉到洞里,这就是断开的概念。如果想让它连续就需要有东西来把这个洞给补上,用什么补呢,显然就是2这一点的函数值f(2)。
但是你的f(2)必须恰好放到洞里面,如果放在其它地方依然是堵不上的,比如下面这种情况:
“连续”概念在数学中的层层演进
所以f(2)必须放在4这个位置才行,这时这条道路才算是畅行无阻的。
“连续”概念在数学中的层层演进
所以当你的车子无限的向x=2这一点开去的时候,你大可不必心惊胆战地踩刹车,因为f(2)这一点已经把4给堵上了。意味着f(2)这一点的值就是函数在x趋近于2时的极限值,即:
“连续”概念在数学中的层层演进
通过这个例子,我们就可以总结下来,一个函数f(x)在x=a处连续的定义就是满足如下条件:
“连续”概念在数学中的层层演进
简单来讲就是极限值等于函数值。
极限值不等于函数值则在这一点是断开的,比如第2幅图里面极限值是4,但函数值是3,二者不相等,所以它是断开的。
这就是微积分里面对连续的定义。当然在微积分创立初期,关于极限的理论还很不成熟,甚至在当时引发了很多争论,最著名的就是来自于爱尔兰哲学家贝克莱(George Berkeley,1685~1753)的关于“无穷小量幽灵”的讨论。幸运的是。经过后来一系列数学家的努力,包括波尔查诺(Bolzano),柯西(Cauchy),魏尔斯特拉斯(Weierstrass)等人,最终给出了关于极限的严格定义,从彻底解决了关于连续性在数学中的定义问题。
研究完平面图形之后,数学家的目光就转向了三维空间乃至更高维数的空间。这就有了空间图形的概念,包括空间曲面与空间曲线。
“连续”概念在数学中的层层演进
空间曲面一般是利用多元函数来刻画的,x、y为自变量,它所对应的值z为因变量,这样画出来的图形就是空间中的一个曲面。
“连续”概念在数学中的层层演进
空间曲线则是利用参数方程来刻画的,x、y、z都是关于t的函数,t为自变量,它每取一个值时就可以得到一组xyz,相当于空间中的一个点,无数个点连成线就是空间中的一条曲线。
空间曲面和空间曲线当然也会有连续性的问题,而关于这些图形连续性的定义,其实采用的跟平面图形完全一样的思想,就是函数值等于极限值,
“连续”概念在数学中的层层演进
当然在空间中定义函数极限会比平面上复杂一些,但是其基本思路都是一致的,这里就不再叙述了。
3.拓扑学中的连续概念
数学发展到20世纪,进入了高度抽象的阶段,在几何方面,拓扑学(Topology)的发展日臻成熟,人们提出了抽象拓扑空间的完整理论,并在此基础上建立了更加深刻的连续性的概念。
拓扑学的核心思想就是:研究几何图形在连续变形下的不变量。先来通俗地解释一下,你把一个立体几何图形想象成是用橡皮泥捏成的,然后再把它揉捏变成其它形状,但是要求不能戳洞,不能拉断,也不能把分开的两块粘在一起,这就叫做连续变形。可以想象一下,利用连续变形,你可以把一个圆球体变成椭球体,还可以变成正方体。但是你却永远无法把它变成一个游泳圈的形状,因为不允许戳洞。那么什么叫不变量呢?通俗的讲就是变形前和变形后所具有的相同的特征。比如“洞”的个数就是一个不变量。
“连续”概念在数学中的层层演进
所以拓扑学有一个很形象的名字,叫做“橡皮泥的几何学”。
那么又如何利用严格的数学语言来定义“不戳破,不拉断,也不粘合”呢?这就需要用到拓扑空间(topological space)的概念了。拓扑空间是一个高度抽象化的概念,它的本质是一个满足若干条公理的集合。1906年,法国数学家弗雷歇(M.R Fréchet, 1878~1973),将传统的几何空间抽象为度量空间(metric space),从而开启了对拓扑空间的研究。
拓扑空间的概念过于抽象,我用最形象化的语言来解释一下。我们高中都学过开区间这个概念,是两端都为圆括号的一个小区间。同样可以推广到平面上,就是一个由虚线围成的小圆形。这样的集合称之为开集(open set)。
而一个拓扑空间,最形象的解释就是由很多开集拼接而成的集合,注意,这些开集彼此可以有重叠。比如一条直线就可以看成是一个拓扑空间,因为它是由无数多个开区间拼接成的;平面也是一个拓扑空间,因为它可以看成是很多小圆形拼成的。
著名的莫比乌斯纸带和克莱因瓶都是一些特殊的拓扑空间。

莫比乌斯纸带
那么一个几何图形可以连续变化到另一个几何图形是什么意思呢?每一个几何图形都看成是一个拓扑空间,假设有两个拓扑空间A和B,并且A到B存在一个映射f,如果f满足,对于拓扑空间B中的任何一个开集,它在拓扑空间A中的原像还是一个开集,那么就说f是连续的。
如果A到B存在这样一个连续的映射f,那么就说A可以连续的变化到B。如果A可以连续变化到B,反过来B也可以连续变化到A,那么就说A与B是同胚的(homeomorphism)。
同胚的两个拓扑空间,我们就说它们在拓扑学的意义下是一样的,比如一个球形和一个正方形就是同胚的。
拓扑学中的连续是一种更为深刻的连续,它摆脱了感性中那种线的连续的形象,而直接研究的是更为抽象的图形,甚至高维的图形的连续。在这个意义上,人类对连续性的认识已经远远超出了你在中学阶段接触的那种几何直观。
4.结语
那么人类对连续性的认识就到此为止了吗,仍然没有。
1922年,波兰数学家巴拿赫(Stefan Banach, 1892~1945)提出了赋范线性空间(normed linear space)的概念,提出了范数意义下的连续概念。并由此创立了泛函分析(functional analysis)这门学科,并取得了丰硕的成果,成为20世纪最主要的数学分支之一。
可以看出连续性这个概念与其它数学概念一样,人们对它的认识也是经历了从原始到高级,层层递进的一个过程。这其实告诉我们,在学习数学的过程中也要依照这一原则,先从感性上理解一个直观概念,进而运用理性对其分析,随着认识的加深而不断有新的理解。最忌讳的就是中间跳过过程,好高骛远,揠苗助长,这对学习数学是没有任何帮助的。
本文参加【科学V计划】,内容为作者原创。
|